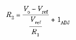
Found in a Linear Technology documentation from the 1990s, this circuit has the voltage adjusted by resistors R1 and R2 according to the formula given in the diagram.
With the circuit shown, you can have a fast response with a Darlington configuration. The circuit is...
We found this multiple thermostat circuit in July 1980 Radio Electronics magazine. It uses...
Mouser Electronics is already providing new MOSFETs EF SIHx28N60EF of Vishay series for voltages...