In the figure we present an interesting application suggested by Microchip (www.microchip.com) in which the voltage reference for an A / D converter is determined by the temperature of a sensor. The circuit uses a thermistor in parallel with a resistor as a sensor to adapt the system's response. The circuit gain, under these conditions, is given by the formula:

Where:
Vout: amp is the output voltage on the operational amplifier
Vin: amp is the voltage applied to the input
Rntc is the resistance displayed by the thermistor at the temperature taken as a reference.
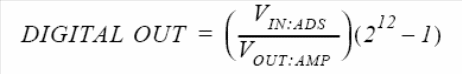
In this circuit, a precision 2.5 V voltage reference is used to generate a voltage of 0.276 V at the input of the operational amplifier. When the NTC temperature is 0o C the resistance of the thermistor is approximately 32,650 ohms. The value of the parallel resistor and the 10k ohm metal film resistor is 7655.38 ohms. This gives a gain for the 14.94 V / V circuit. When the temperature of the NTC is 50º C the resistance of the thermistor will be approximately 3601 ohms and with that the gain of the amplifier will be 5.8226 V / V. With these characteristics we have the following formula for the transfer function of the converter that digitizes the input signal:





