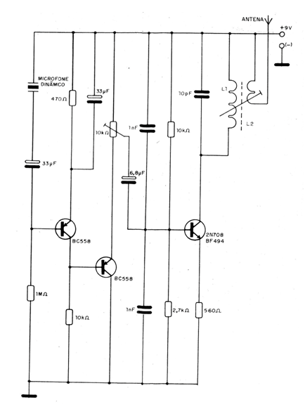
This circuit transmits signals to an FM receiver placed at a distance of up to 200 m. The antenna must be 15 to 40 cm and the capacitors must be ceramic. L1 has 4 turns of wire 24 to 28 in a 1 cm shape and L2 consists of 3 turns on L1.

This circuit transmits signals to an FM receiver placed at a distance of up to 200 m. The antenna must be 15 to 40 cm and the capacitors must be ceramic. L1 has 4 turns of wire 24 to 28 in a 1 cm shape and L2 consists of 3 turns on L1.
